НАСОСЫ СЕРИИ CK

Blog Sample Image
Особенности конструкции

Серия СК включает в себя САМОВСАСЫВАЮЩИЕ ЖИДКОСТНО-КОЛЬЦЕВЫЕ ЭЛЕКТРОНАСОСЫ. Рабочее колесо, которое имеет многочисленные радиальные лопатки, помещено внутри корпуса насоса, в котором имеются впускные зазоры всасывающих и нагнетающих каналов; опора закрывает корпус насоса с задней стороны. Таким образом лопатки рабочего колеса оказываются заключенными между двумя тщательно обработанными стенками корпуса насоса. В процессе функционирования рабочее колесо обеспечивает центробежное движение воды по направлению к периферии; вода приобретает энергию и создает тем самым жидкостное кольцо, вращающееся вместе с самим рабочим колесом. Каждый сектор, заключенный между двумя смежными радиальными лопатками, выполняет накачивание, создавая разряжение и давление соответственно в каналах всасывания и нагнетания, в процессе быстрого прохождения впускных зазоров специального профиля. При первом запуске достаточно заполнить водой корпус насоса, после чего образуется жидкостное кольцо и, как следствие, создается разрежение, необходимое для самовсасывания. Воздух, присутствующий во всасывающем трубопроводе, выталкивается на этапе нагнетания; образовавшийся таким образом вакуум приведет к подъему уровня воды во всасывающем трубопроводе, вызывая тем самым самовсасывание.

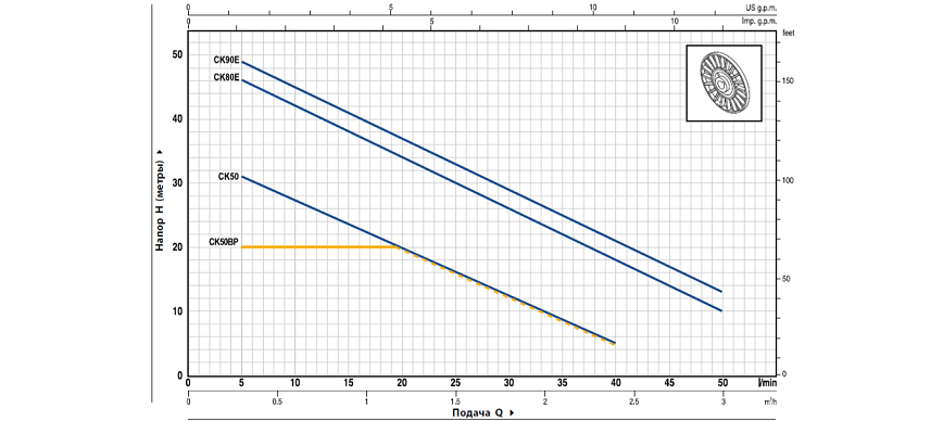
Диапазон гидравлических характеристик

Blog Sample Image
Пояснения к характеристикам

• Насосы должны исполь­зовать­ся в пре­де­лах ра­бо­чего интер­вала, указан­ного вы­делен­ной кривой на гра­фике, чтобы исклю­чить по­вы­шенный износ при вы­соких на­порах и пе­ре­грев дви­гателя при больших подачах.
• Если плот­ность и/или вяз­кость пе­ре­ка­чива­емой жид­кости выше, чем у воды, может по­требовать­ся дви­га­тель боль­шей мощности.

Перекачиваемые жидкости

• Пере­ка­чиваемая жид­кость не должна ме­ха­ни­чески или хи­ми­чески во­здей­ствовать на мате­риал насоса.
• Если ки­не­матическая вяз­кость или плот­ность пере­качи­ваемой жидко­сти выше, чем у воды, гидравли­чес­кие ха­ра­кте­ри­сти­ки на­со­са умень­шаются, а по­тре­бля­емая мощ­ность – уве­ли­чивается.




ИНФО

Мы предлагаем продукцию изготовленную по международным стандартам на профессиональном современном оборудовании.

КОНТАКТЫ
+375 (17) 394 56 05 +375 (17) 394 56 06 +375 (17) 312 13 95 info@promnasos.by
© Promnasos. All RIghts Reserved